合作客戶/
拜耳公司 |
同濟大學 |
聯合大學 |
美國保潔 |
美國強生 |
瑞士羅氏 |
相關新聞Info
-
> 酚胺樹脂聚醚型破乳劑分子結構、濃度對油-水界面張力的影響——結果與討論、結論
> 系列脂肪醇聚氧乙烯醚磺酸鹽表面活性劑制備、溶解性、表面張力及界面張力測定(一)
> 豬肉、雞肉和魚肉肌漿蛋白油-水界面性質、氨基酸組成、蛋白質構象研究(三)
> 七葉皂素分子在氣-液、液-液(油-水)、固-液界面上的界面行為研究(三)
> 馬來酸酐為聯接劑,合成Gemini非離子表面活性劑的表面性能測試
> 不同水油黏度比條件下乳化對3種稠油復合體系的影響(二)
> 微通道流動沸騰中表面張力的關鍵作用機制研究(一)
> 超微量天平應用于粗錫中銀含量的分析檢測
> Marangoni效應:智能液體會走迷宮
> 氣溶膠固定劑PAM-b-PVTES合成路線及GPC、DSC、表面張力等性能測試(三)
推薦新聞Info
-
> 超低界面張力下重油-水兩相垂直流動型態實驗研究與圖版預測(四)
> 超低界面張力下重油-水兩相垂直流動型態實驗研究與圖版預測(三)
> 超低界面張力下重油-水兩相垂直流動型態實驗研究與圖版預測(二)
> 超低界面張力下重油-水兩相垂直流動型態實驗研究與圖版預測(一)
> 表面張力對機械結合面接觸載荷、真實接觸面積以及接觸剛度的影響規律(四)
> 表面張力對機械結合面接觸載荷、真實接觸面積以及接觸剛度的影響規律(三)
> 表面張力對機械結合面接觸載荷、真實接觸面積以及接觸剛度的影響規律(二)
> 表面張力對機械結合面接觸載荷、真實接觸面積以及接觸剛度的影響規律(一)
> 一種改進的CSF模型:用于SPH流體仿真的光滑表面張力模擬(二)
> 一種改進的CSF模型:用于SPH流體仿真的光滑表面張力模擬(一)
基于界面張力消失法計算CO2-原油最小混相壓力
來源:西南石油大學 瀏覽 1405 次 發布時間:2024-06-21
油藏在經歷一次采油(衰竭式采油)和二次采油(注水采油)后平均采收率僅能達到15-20%左右,CO2氣體具有降低原油粘度、膨脹系數大、與原油混相降低界面張力等優點,可在油田注水開發基礎上提高采收率約5~10個百分點。
CO2驅油可分為非混相驅與混相驅,混相驅提高采收率的效果遠遠高于非混相驅,非混相驅與混相驅最重要的區別為是否形成CO2-原油混相帶,混相帶的運移類似于活塞式驅油,CO2與原油通過多次接觸形成混相之后,界面張力消失,毛管力等于零,理論上的洗油效率能達100%。
CO2-原油混相帶的運移在地層中無法直觀的觀察到,多孔介質中混相帶的運移難以描述,CO2混相驅開發動態特征難以預測,會影響采油方案的調整和注氣參數的制定,降低CO2混相驅的開發效率與CO2的利用效率。本方法基于B-L方程提出考慮CO2與原油之間混相程度、儲層重力效應的CO2混相驅混相帶前緣位置的新方法,對揭示CO2混相驅油規律有重大意義。
一種確定油藏尺度CO2混相驅混相帶前緣位置的新方法,包括如下步驟:
步驟1、獲取儲層的孔隙度Φ、滲透率K、井距L、地層傾角θ、油相密度ρo、氣相密度ρg、油相粘度μo、氣相粘度μg
基本信息;
步驟2、利用界面張力消失法獲取CO2-原油最小混相壓力,并根據不同壓力下油氣界面張力計算CO2-原油混相指數;
界面張力消失法獲取CO2-原油最小混相壓力及CO2-原油混相指數的計算如下:
使用石油醚將高溫高壓界面張力儀中的懸滴室清洗干凈,清洗之后用熱氮氣吹掃,將懸滴室抽至真空;
將測試系統加熱至地層溫度后保持恒定,隨后向懸滴室內逐漸注入CO2的同時對系統加壓達到實驗設定壓力值;
測試系統壓力和溫度趨于穩定后,在預定的壓力值下將地層原油樣品通過毛細探針緩慢地向懸滴室注入,當油滴在探針頂端形成穩定的油滴時,用裝置中的攝像系統拍下油滴形狀的圖片,根據油滴的形狀用Andreas選面法計算出CO2-原油間的界面張力。至此完成一個壓力下的界面張力測試;
將懸滴室重新洗凈,改變壓力重復上述步驟進行其他壓力下的CO2-原油界面張力測試,直至油相在懸滴室中的CO2中不能形成完整的油滴時結束實驗。
基于不同壓力CO2-油界面張力變化計算CO2-原油混相指數的公式為:
步驟3、在CO2驅油過程中,存在氣相與油相兩相速度場,基于達西定律計算傾斜儲層中油相與氣相的運移速度;
基于達西定律計算傾斜儲層中油相與氣相的運移速度的公式如下:
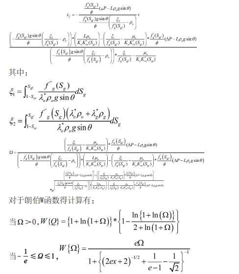
步驟4、基于B-L方程、質量守恒方程、氣體分流率方程,利用油藏中油/氣運移速度方程得到CO2混相驅混相帶前緣位置模型。
結合CO2黏度、原油黏度,推導出具有重力效應的帶傾角儲層氣體分流率方程為:
將速度場方程與氣體分流率方程結合,在遵循氣體質量守恒的基礎上,從CO2入口端到混相帶前緣對含氣飽和度進行積分,并用朗伯W函數求解得出混相前緣的位置,其表達式如下:





