合作客戶/
拜耳公司 |
同濟大學 |
聯合大學 |
美國保潔 |
美國強生 |
瑞士羅氏 |
相關新聞Info
-
> 不同兩性聚合物界面張力、溶解性能及抗鹽性檢測結果
> 連接基對3種表面活性劑GSS271、GSS371和GSS471動態表面性能的影響(下)
> 三種金屬陽離子對SDS表面活性劑溶液的影響研究
> ?工藝因素對植物纖維活性發泡材料表面張力的影響
> 3種助劑對螺蟲乙酯和聯苯菊酯藥液表面張力、金釵石斛菲盾蚧防治效果的影響(一)
> 便攜式自動表面張力儀主要產品特征
> 超細纖維:固體表面能的測量過程與操作步驟
> 氣溶膠固定劑PAM-b-PVTES合成路線及GPC、DSC、表面張力等性能測試(一)
> 人工沖洗升級為超聲波清洗,可改善新能源電池沖壓配件的表面張力
> 腰果酚醛樹脂嵌段聚醚破乳劑表面/界面性能、油滴破裂速率常數測定(一)
推薦新聞Info
-
> 超低界面張力下重油-水兩相垂直流動型態實驗研究與圖版預測(二)
> 超低界面張力下重油-水兩相垂直流動型態實驗研究與圖版預測(一)
> 表面張力對機械結合面接觸載荷、真實接觸面積以及接觸剛度的影響規律(四)
> 表面張力對機械結合面接觸載荷、真實接觸面積以及接觸剛度的影響規律(三)
> 表面張力對機械結合面接觸載荷、真實接觸面積以及接觸剛度的影響規律(二)
> 表面張力對機械結合面接觸載荷、真實接觸面積以及接觸剛度的影響規律(一)
> 一種改進的CSF模型:用于SPH流體仿真的光滑表面張力模擬(二)
> 一種改進的CSF模型:用于SPH流體仿真的光滑表面張力模擬(一)
> 減弱賈敏效應的方法|表面活性劑改善賈敏效應實驗
> 賈敏效應實驗方法與步驟、結果
表面張力對機械結合面接觸載荷、真實接觸面積以及接觸剛度的影響規律(二)
來源: 《振動與沖擊》 瀏覽 107 次 發布時間:2026-03-09
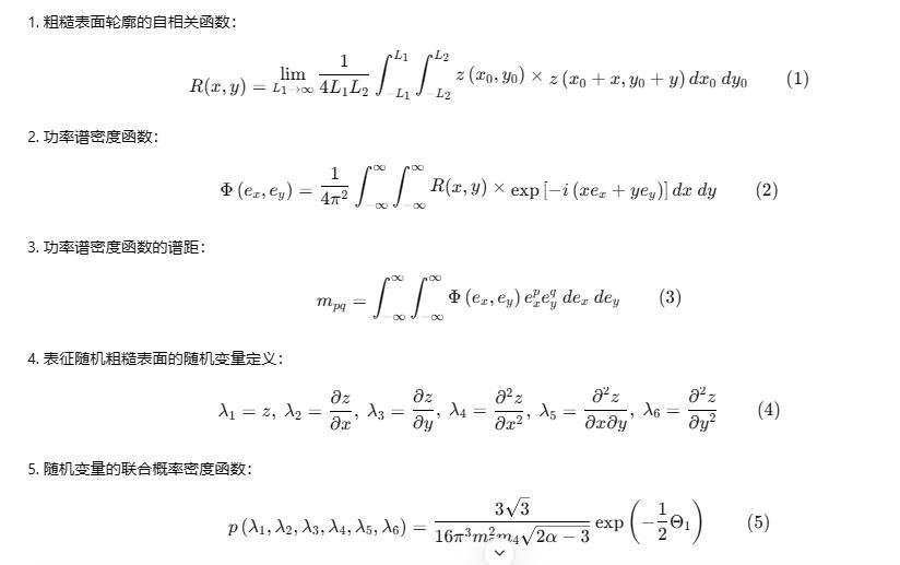
根據文獻可知,粗糙表面輪廓的自相關函數可表示為
式中,取樣長度分別為2L1、2L2。
通過對式(1)進行傅里葉變換獲得隨機過程模型中的功率譜密度函數為
式中:i為虛數;ex和ey分別為x和y方向上的波峰數。功率譜密度函數的譜距為
對于一個各向同性的粗糙表面,有mp0=m0p=mp,mp為粗糙表面輪廓在任意方向上的譜距。其中,零階譜距m00=m0=σ2,σ為表面粗糙度的標準偏差。
用隨機變量(λ1, λ2, λ3, λ4, λ5, λ6)表征隨機粗糙表面,各變量定義如下
Nayak推導出了關于這些隨機變量的聯合概率密度函數為
Θ? = (2C?(α)λ?2)/m? + (9(λ?2+λ?2))/(4m?)[C?(α)-1/(2α-3)] + (3λ?2)/m? + (3C?(α)λ?(λ?+λ?))/(α m?) - (3λ?λ?)/(2m?)[C?(α)-3/(2α-3)] + (λ?2+λ?2)/m?
式中:C?(α)=α/(2α-3), α=(m? m?)/m?2, m0、m2、m4分別為零階、二階、四階譜距,α(α>1.5)為粗糙表面輪廓的帶寬。
當表面上任意一點z(x, y)為最大值點時,則有λ2=λ3=0, λ4<0, λ6<0, λ4λ6-λ52≥0。因此,整個粗糙表面上高度為λ1的微凸體分布概率密度函數為
式中:積分區域v內有λ4<0, λ6<0, λ4λ6-λ52≥0,通過對psum(λ1)在(-∞,∞)上積分便可獲得粗糙表面上微凸體的分布密度
微凸體的平均曲率ρ0=sqrt(λ4λ6-λ52),為了簡化分析,我們對微凸體的高度和平均曲率進行無量綱處理
式中:λ*和ρ分別為無量綱后的微凸體高度與平均曲率。
p_sum(λ*, ρ) = 1/(4π^(3/2)) √(3α/(2(α-1))) (m?/m?) ρ3 * exp[ (3/2)ρ2 - (αλ*2)/(2(α-1)) ] * erfc( 3ηρ - (η√α)/(α-1) λ* )
式中:η=√[(α-1)/(4α-6)];誤差函數 erfc(x) = (2/√π) ∫_x^∞ exp(-y2) dy
根據Greenwood對Nayak隨機過程理論的擴展,得到無量綱后的微凸體高度λ*和平均曲率ρ分布的概率密度函數為
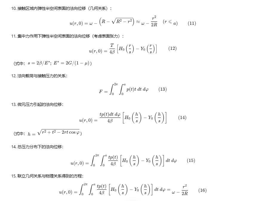
2 單個微凸體的接觸模型
在研究表面張力對粗糙表面接觸特性的影響之前,需要先求解單個微凸體的計算模型。文獻研究表明即使在表面張力存在的情況下,單個彈性球體與一個剛性平面的接觸仍可等效為彈性半空間與單個剛性球體的接觸。因此,本文可將單個彈性球形微凸體與剛性平面的接觸等效為圖2所示的接觸模型。
圖2 剛性球形微凸體與彈性半空間的接觸
從圖2可知,笛卡爾坐標系(O-xyz)的坐標原點O建立在剛性球形微凸體與彈性半空間最初的接觸點處。在法向載荷F的作用下,剛性微凸體與彈性半空間產生接觸,并形成了接觸半徑為a的圓形接觸區域,彈性半空間的壓入深度為ω。
根據圖2的幾何關系,可得接觸區域內彈性半空間表面的法向位移為
式中:a為真實接觸半徑;r為接觸區域內任意一點到接觸中心的垂直距離。
Hajji考慮了表面張力的影響,求解了集中力作用下彈性半空間表面的法向位移為
式中:s=2β/E*; E*=2G/(1-μ); T為集中力;β為表面張力;E*為復合彈性模量;G和μ分別為彈性半空間的剪切模量與泊松比;H0與Y0分別為0階斯特魯夫函數和第二類0階的貝塞爾函數。
針對單個微凸體的接觸模型,采用極坐標來表征接觸區域內點的坐標(t, φ),t為任意一點到接觸中心的距離,φ為該點的極角。若記該點在載荷F作用下的接觸壓力為p(t),則在整個接觸區域內對p(t)進行積分即可獲得總的接觸壓力,且法向載荷F與總的接觸壓力相等,于是有
將作用在接觸區域內某一微元t d t dφ上的壓力視為集中力t p(t) d t dφ,則用此集中力代替式(12)中的T,即可獲得彈性半空間表面上任意點(r,0)的法向位移
式中:h=sqrt(r2+t2-2rt cosφ),為壓力p(t)的作用點到點(r, 0)的距離。
為了獲得點(r,0)在總的壓力分布下的法向位移,則需要對式(14)在接觸區域內進行積分,即有
聯立式(11)與式(15)有
由式(16)可知,當r=0時,彈性半空間的壓入深度ω可表示為





