合作客戶/
拜耳公司 |
同濟大學 |
聯合大學 |
美國保潔 |
美國強生 |
瑞士羅氏 |
相關新聞Info
-
> 基于界面張力弛豫法探討疏水改性聚合物與石油酸和瀝青質間的相互作用(一)
> 探索界面張力梯度驅動對流轉捩規律
> 十八胺LB膜誘導草酸鈣晶體成核與生長的機理
> 界面張力主導:殘余氣飽和度的深部咸水層CO2封存潛力評估(三)
> 不同礦漿濃度、粒度、伴生礦物、捕收劑和起泡劑對礦漿表面張力的影響(一)
> 造成泡泡破裂的不是重力,而是表面張力
> 聚丙烯酸酯反相破乳劑添加后曹妃甸油田含油污水界面張力的變化
> 桐油基衍生物鈉鹽的表面張力、CMC值測定、乳液穩定性、固化膜性能測試(一)
> 七葉皂素分子在氣-液、液-液(油-水)、固-液界面上的界面行為研究(二)
> 接觸角遲滯時氣~液界面張力的溫度敏感性對液滴蒸發過程的影響——引言
推薦新聞Info
-
> 超低界面張力下重油-水兩相垂直流動型態實驗研究與圖版預測(二)
> 超低界面張力下重油-水兩相垂直流動型態實驗研究與圖版預測(一)
> 表面張力對機械結合面接觸載荷、真實接觸面積以及接觸剛度的影響規律(四)
> 表面張力對機械結合面接觸載荷、真實接觸面積以及接觸剛度的影響規律(三)
> 表面張力對機械結合面接觸載荷、真實接觸面積以及接觸剛度的影響規律(二)
> 表面張力對機械結合面接觸載荷、真實接觸面積以及接觸剛度的影響規律(一)
> 一種改進的CSF模型:用于SPH流體仿真的光滑表面張力模擬(二)
> 一種改進的CSF模型:用于SPH流體仿真的光滑表面張力模擬(一)
> 減弱賈敏效應的方法|表面活性劑改善賈敏效應實驗
> 賈敏效應實驗方法與步驟、結果
海藻糖脂:一種兼具優異發泡性能與皮膚溫和性的新型表面活性劑(四)
來源:日用化學工業 瀏覽 404 次 發布時間:2026-01-09
2.3角質層表面測量法和Zeta電位
體外角質層表面測量法是一種基于皮膚脂質屏障完整性評估沖洗型化妝品溫和性的方法。與其他方法相比,角質層表面測量法具有高精度、高可靠性、低成本和易于處理的優點。
這里我們使用這種方法評估了6種表面活性劑復合物的溫和性。如圖5所示,SMCT體系(S4-S6)的CIM值與水的CIM值相當,并且顯著高于SLES體系(S1-S3)。這表明SMCT體系表現出優異的溫和性,對皮膚脂質屏障的破壞潛力低于SLES體系。對于SLES體系,引入非離子表面活性劑導致S2(含APG)的CIM略有變化,但S3(含海藻糖脂)的CIM顯著降低。類似地,對于SMCT體系,加入APG(S5)和海藻糖脂(S6)后,CIM值顯著低于S4。這表明加入海藻糖脂對兩種體系的溫和性都有影響,意味著皮膚脂質提取能力增強。然而,這一結果與上述體外細胞測試中IL-1a測試的結果相矛盾。這種差異可能是由于兩種方法的作用機制不同。角質層表面測量法主要反映表面活性劑對皮膚脂質屏障的破壞,而細胞測試中的IL-1a與細胞反應相關。但細胞不像皮膚那樣擁有脂質屏障。
Zeta電位在理解表面活性劑分子如何與表面(如皮膚或其他材料)相互作用方面起著關鍵作用。通過分析Zeta電位,研究人員可以預測表面活性劑在穩定性、分散性以及滲透或粘附皮膚能力方面的行為。據報道,Zeta電位與陰離子表面活性劑對皮膚的滲透和蛋白質變性呈正相關。
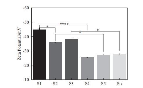
在我們的研究中,測量了Zeta電位,如圖6所示。對于SLES體系(S1-S3),S1表現出最負的Zeta電位,其次是S3,而S2的Zeta電位最小。對于SMCT體系(S4-S6),它們之間的Zeta電位沒有顯著差異。比較SLES和SMCT體系時,可以觀察到SMCT體系的Zeta電位低于SLES體系。此外,在S1和S4、S2和S5以及S3和S6之間發現了顯著差異。
如圖7所示,Zeta電位與CIM之間存在正相關關系。具體而言,隨著Zeta電位變得更負,CIM降低,表明樣品變得更具刺激性。這意味著更負的Zeta電位與更高的皮膚刺激機會相關,反映了靜電相互作用與皮膚脂質屏障破壞之間的關系。因此,表面活性劑的Zeta電位不僅可用于預測蛋白質變性和皮膚滲透的程度,還可用于預測對皮膚脂質屏障的損傷程度。
2.4人體皮膚斑貼試驗
封閉斑貼試驗通常用于評估產品的溫和性。表面活性劑對皮膚引起的刺激通常以紅斑、水腫、脫屑、干燥、開裂、瘙癢和刺痛的形式表現。
在本研究中,我們采用這種方法評估了六種表面活性劑復合物的溫和性。結果如表5所示。每種產品與去離子水之間的刺激性存在顯著差異,但產品之間無顯著差異。盡管如此,仍然可以觀察到某些趨勢。對于SLES體系,二元配方S1表現出比三元配方S2和S3更強的刺激潛力。這一趨勢與IL-1a測試的結果一致。對于SMCT體系,含有海藻糖脂的配方S6顯示出最低的刺激潛力,表明海藻糖脂在沖洗型配方中具有優異的溫和性潛力。
表5人體皮膚斑貼試驗結果(N=33)
表5 人體皮膚斑貼試驗結果(N=33)| 樣品 | 刺激得分(IS) | 總得分 | 總刺激得分(TIS) | ||
|---|---|---|---|---|---|
| 0.5h | 24h | 48h | |||
| S1 | 7* | 0 | 0 | 7* | 0.21 |
| S2 | 6 | 0 | 0 | 6 | 0.18 |
| S3 | 6 | 0 | 0 | 6 | 0.18* |
| S4 | 5 | 2 | 0 | 7* | 0.21* |
| S5 | 8 | 0 | 0 | 8 | 0.24 |
| S6 | 5 | 0 | 0 | 5 | 0.15* |
| Water | 0 | 0 | 0 | 0 | 0 |
表示與蒸餾水(陰性對照)相比有統計學顯著差異,顯著性水平P<0.05。
從上述溫和性數據,如IC50、IL-1a、CIM和斑貼試驗數據可以看出,同一樣品的結果可能因所用方法而異。這種差異可能是由于每種方法的作用機制不同。在各種方法中,斑貼試驗尤其最接近現實,因為它綜合了表面活性劑對皮膚脂質提取、滲透性以及細胞和蛋白質變性的影響。
3結論
海藻糖脂過去并未在化妝品應用中得到廣泛研究。通過專門的研究和開發,通過酯交換法生產的質量現在可以得到控制和保證。我們的研究采用了一種具有中長碳鏈的特殊等級的海藻糖脂。通過一系列實驗室測試,確認了其發泡和溫和性的基本特性。
1)作為一種非離子表面活性劑,與DG相比,海藻糖脂在SLES/CAPB(S1)和SMCT/CAPB(S4)表面活性劑復合物中在降低表面張力、提高泡沫體積方面表現出更強的協同效應。
2)對于體外溫和性,在兩種不同的表面活性劑濃度0.015%和0.020%下,海藻糖脂在SLES/CAPB(S1)和SMCT/CAPB(S4)體系中均比DG顯著減少IL-1α釋放。
3)根據CIM結果,SMCT體系表現出優異的溫和性,對皮膚脂質屏障的破壞潛力低于SLES體系。加入海藻糖脂對兩種體系的溫和性有負面影響。
4)人體皮膚斑貼試驗作為一種綜合方法,整合了表面活性劑對皮膚脂質提取、滲透性以及細胞和蛋白質變性的影響。結果表明,所有表面活性劑復合物之間無顯著差異。但加入海藻糖脂可能會改善溫和性,尤其是在SMCT體系中。
總之,無論是體外還是體內結果都表明,海藻糖脂作為沖洗型產品中的輔助表面活性劑,在改善泡沫和溫和性方面具有巨大潛力。可以通過更深入的研究,進一步探索海藻糖脂在清潔配方中的應用,以提高整體表皮的溫和性。





